Расширенный поиск
Mavv
Главная Контакты Правила
  • Войти
    Регистрация Забыли пароль?
Главная Контакты Правила
  • Школа 22
    • Информатика 8
    • Геометрия 2
    • Алгебра 1
    • Химия 1
    • Обществознание 7
    • Вероятность и статистика 1
  • Задания 19
  • Константин Поляков 6
Вверх
Вниз
Mavv
Информатика - просто!
Mavv
Задачи для вас!
Mavv
Решение прилагается!

Планиметрия ЕГЭ. Задачи сниженной сложности для отработки и тренировки теорем.

Школа / Геометрия / Задания
Подробнее
  • 0
  • 1
  • 2
  • 3
  • 4
  • 5
  • Жалоба
  • 4
  • 0
  • ItsNotMe от 8-02-2026, 18:01

Домашнее задание «ОВР» (обобщение)

Школа / Химия / Задания
Подробнее
  • 0
  • 1
  • 2
  • 3
  • 4
  • 5
  • Жалоба
  • 9
  • 0
  • ItsNotMe от 8-02-2026, 12:52

ЕГЭ по информатике Задача № 3448 с сайта К. Полякова

Школа / Информатика / Задания / Константин Поляков
Подробнее
  • 0
  • 1
  • 2
  • 3
  • 4
  • 5
  • Жалоба
  • 5
  • 0
  • ItsNotMe от 4-02-2026, 20:04

Метод рационализации ЕГЭ. Неравенства

Школа / Алгебра
Подробнее
  • 0
  • 1
  • 2
  • 3
  • 4
  • 5
  • Жалоба
  • 1
  • 0
  • ItsNotMe от 2-02-2026, 18:54

Задание по Вероятности и Статистике

Школа / Вероятность и статистика / Задания
Подробнее
  • 0
  • 1
  • 2
  • 3
  • 4
  • 5
  • Жалоба
  • 3
  • 0
  • ItsNotMe от 21-01-2026, 20:52

6. Подготовьтесь к дискуссии по теме «Как политические партии борются за голоса избирателей?». Обществознание Боголюбов 11 класс

Школа / Обществознание / Задания
Подробнее
  • 0
  • 1
  • 2
  • 3
  • 4
  • 5
  • Жалоба
  • 0
  • 0
  • ItsNotMe от 20-01-2026, 18:02

5. Составьте развёрнутый план «Политические партии и их роль в современном обществе». Обществознание Боголюбов 11 класс

Школа / Обществознание / Задания
Подробнее
  • 0
  • 1
  • 2
  • 3
  • 4
  • 5
  • Жалоба
  • 0
  • 0
  • ItsNotMe от 20-01-2026, 18:01

4. В стране В. прошли очередные выборы в парламент. На выборах одержала победу политическая партия, которая имеет центральные органы и региональные отделения. Обществознание Боголюбов 11 класс

Школа / Обществознание / Задания
Подробнее
  • 0
  • 1
  • 2
  • 3
  • 4
  • 5
  • Жалоба
  • 1
  • 0
  • ItsNotMe от 20-01-2026, 17:59

3. Выберите верные суждения о политических идеологиях. 1) Все политические идеологии основываются на одинаковых ценностях. Обществознание Бологюбов 11 класс

Школа / Обществознание / Задания
Подробнее
  • 0
  • 1
  • 2
  • 3
  • 4
  • 5
  • Жалоба
  • 0
  • 0
  • ItsNotMe от 20-01-2026, 17:57

В Российской империи в 1898 г. была создана Российская социал-демократическая рабочая партия (РСДРП). В 1901-1902 гг. произошло оформление партии социалистов-революционеров (эсеры). Обществознание 11 класс Боголюбов

Школа / Обществознание / Задания
Подробнее
  • 0
  • 1
  • 2
  • 3
  • 4
  • 5
  • Жалоба
  • 0
  • 0
  • ItsNotMe от 20-01-2026, 17:56
1 2

Новости партнеров

Тут могла быть ваша реклама

Популярное

  1. ЕГЭ по информатике Задача № 7483 с сайта К. Полякова методом кеширования Школа / Информатика / Задания / Константин Поляков
  2. ЕГЭ по информатике Задача № 2279 с сайта К. Полякова методом кеширования Школа / Информатика / Задания / Константин Поляков
  3. Химия 11 класс. Задачи на скорости и химическое равновесие Школа / Задания
  4. ЕГЭ по информатике Задача № 6641 с сайта К. Полякова лимитом рекурсии и кешированием Школа / Информатика / Задания / Константин Поляков
  5. ЕГЭ по информатике Задача № 7425 с сайта К. Полякова методом кеширования Школа / Информатика / Задания / Константин Поляков
  6. ЕГЭ по информатике Задача № 6756 с сайта К. Полякова методом кеширования Школа / Информатика / Задания / Константин Поляков
  7. Домашнее задание «ОВР» (обобщение) Школа / Химия / Задания
  8. ЕГЭ по информатике Задача № 3448 с сайта К. Полякова Школа / Информатика / Задания / Константин Поляков
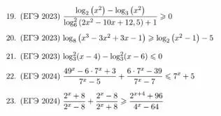
  9. Алгебра 11 класс. Задания по неравенствам для решения равносильным переходом Школа / Задания
  10. Планиметрия ЕГЭ. Задачи сниженной сложности для отработки и тренировки теорем. Школа / Геометрия / Задания

Архив

  • В виде календаря
  • В виде списка
«    Февраль 2026    »
ПнВтСрЧтПтСбВс
 1
2345678
9101112131415
16171819202122
232425262728 
Февраль 2026 (4)
Январь 2026 (17)
Декабрь 2025 (1)
Ноябрь 2025 (1)

Теги

Комментарии

  • А @lru_cache это имя в тг?  Гоша г1488
  • Не ну я бы трахнул Гоша г1488
  • Разделы сайта
    Расширенный поиск Последние новости Последние комментарии
  • Посетителю
    Главная Правила Регистрация Статистика
Copyright © 2004–2025 SoftNews Media Group All Rights Reserved. Powered by DataLife Engine © 2025
Дизайн – Centroarts